戴维宁定理:概念介绍及其求解过程
戴维宁定理:概念介绍及其求解过程
一、概念
任何网络,不管其内部结构简单还是复杂,只要有两个引出端与外电路相连,就叫做二端网络。二端网络根据其内部是否含有电源,可分为有源二端网络和无源二端网络。任一个无源二端网络都可以用一个等效电阻来代替,这个电阻叫做该二端网络的输入电阻,即从两个端点看进去的总电阻,如下图:

图1.1 无源网络
任何线性有源二端网络都可以根据戴维宁定理化简为一个电压源,如下图,戴维宁定理的内容:一个有源二端网络可以用一个等效电源来代替。

图1.2 有源网络
简单来说,有源网络就是有电源的网络,无源网络就是没有电源的网络。就像有源滤波器和无源滤波器是一样的,无源滤波器就是用电阻,电容,电感搭建起来的,不需要外加电源,而有源的就是用运放加电阻电容构成的,而运放是需要电源的,所以叫有源滤波器。
二、求解步骤
应用戴维宁定理简化复杂电路,求解某一支路电流的一般步骤如下:
(1)将电路分为有源二端网络和待求支路。
(2)移开待求支路,求出有源二端网络的开路电压U0,则等效电源的电动势E0=U0,等效电源的极性应与开路电压保持一致。
(3)将有源二端网络中所有电动势短接,变为无源二端网络,求出电阻r0,即为等效电源的内阻。
(4)画出有源二端网络的等效电路,并接上待求支路,求出电流。
三、例子
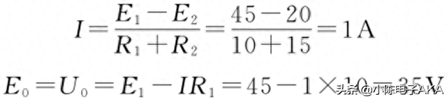
如例图所示电路,已知E1=45V,E2=20V,R1=10Ω,R2=15Ω,R3=64Ω,试用戴维宁定理求解流过R3的电流。

图3.1 例图
解:
(1)将电路分为有源二端网络和待求支路,如例图(a)所示。
(2)移开待求支路,开路电压U0即等效电源的电动势E0,如例图(b)所示。

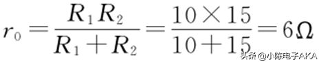
(3)将有源二端网络中所有电动势短接,变为无源二端网络,求出输入电阻r0,即为等效电源的内阻,如图例图(c)所示。

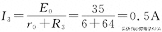
(4)画出有源二端网络的等效电路,并接上待求支路R3,如例图(d)所示。

注意:
(1)戴维南定理只对外电路等效,对内电路不等效。也就是说,不可应用该定理求出等效电源电动势和内阻之后,又返回来求原电路(即有源二端网络内部电路)的电流和功率。
(2)应用戴维南定理进行分析和计算时,如果待求支路后的有源二端网络仍为复杂电路,可再次运用戴维南定理,直至成为简单电路。
(3)戴维南定理只适用于线性的有源二端网络。如果有源二端网络中含有非线性元件时,则不能应用戴维南定理求解。
(4)戴维南定理和诺顿定理的适当选取将会大大化简电路。
-
- 微信实名制可以更改吗?搞清楚实名认证的是什么,就知道答案啦
-
2025-08-08 06:05:07
-
- 国企工作真的好吗-(国企工作稳定吗能干一辈子吗)
-
2025-08-08 06:02:52
-
- 蚕蛹中间的黑心有营养价值么
-
2025-08-08 06:00:38
-
- 神兵小将:十年形象进化史,漫画版都是猛男,铁心宛若新生
-
2025-08-08 05:58:23
-
- 山东人为什么被叫山东大汉,有这四个原因
-
2025-08-08 05:56:08
-
- 58岁阿姨黄昏恋,一个月就分手了?阿姨:我受不了啊!
-
2025-08-08 05:53:53
-
- 推荐下腹肌的最佳锻炼方法
-
2025-08-08 05:51:39
-
- 日本让人胆寒的食人魔-佐川一政
-
2025-08-08 05:49:23
-
- 1178年,月亮“裂开了” 英国修道士看到了什么神秘现象?
-
2025-08-08 05:47:08
-
- 西安交大正面硬刚!“学术妲己”事件:真相究竟是什么?
-
2025-08-08 05:44:53
-
- 做了美瞳线后,真的实在是太好看!
-
2025-08-08 05:42:38
-
- 留学生江歌遇害案再起风波,疑似局部遗体照片流出,其母称已报警
-
2025-08-08 05:40:23
-
- 没想到智伯一生英明,却被自己一个二货行为给害了
-
2025-08-08 05:38:08
-
- 为什么有的人身份证最后一位是X?有什么含义?
-
2025-08-07 11:53:31
-
- 功夫巨星元彪为何巅峰时期息影?复出后,网友惊呼“痣”不见了
-
2025-08-07 11:51:16
-
- 从哈里王子大婚对公众开放谈英格兰王室传统婚礼习俗
-
2025-08-07 11:49:01
-
- 唐晓芙,一个真正的女孩子-重读《围城》15
-
2025-08-07 11:46:46
-
- 三个问题证明你是内行,新手去售楼处要记得先问,销售不敢忽悠你
-
2025-08-07 11:44:31
-
- 封神演义:神仙打架,凡人遭殃
-
2025-08-07 11:42:16
-
- 10个路亚钓法入门技巧,路亚高手都是这样的
-
2025-08-07 11:40:01



一条烟不开封可以放多久?
彭冠英张含韵被曝结婚:低调的幸福爱情婚姻,或许与她的经历有关
王治郅的妻子周蕾,身材高挑 才貌双全 照片欣赏
范冰冰不雅图片 范爷大尺度裸身戏遭曝光
扎西顿珠视为信仰的宗庸卓玛与平凡丈夫的爱情,七年卧床不离不弃
中国著名相声演员姜昆简历