椭圆的92条经典性质【提分必看】
2025-08-15 12:44 来源:网络 点击:
椭圆的92条经典性质【提分必看】

























取材网络仅分享侵权即删❗️
相关标签:
-
- 市领导刘立著来临调研农村“小微权力”清单管理规范运行工作
-
2025-08-15 12:42:12
-
- 噪音污染治理的主要措施有哪些 噪音污染治理的主要措施包括
-
2025-08-15 12:39:57
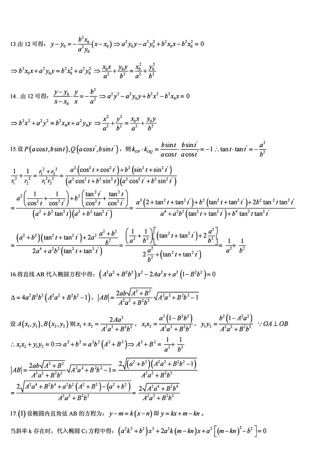
-
- 美食“拔丝特朗普”走红,网友称:中国人在取菜名上就从没输过
-
2025-08-15 12:37:41
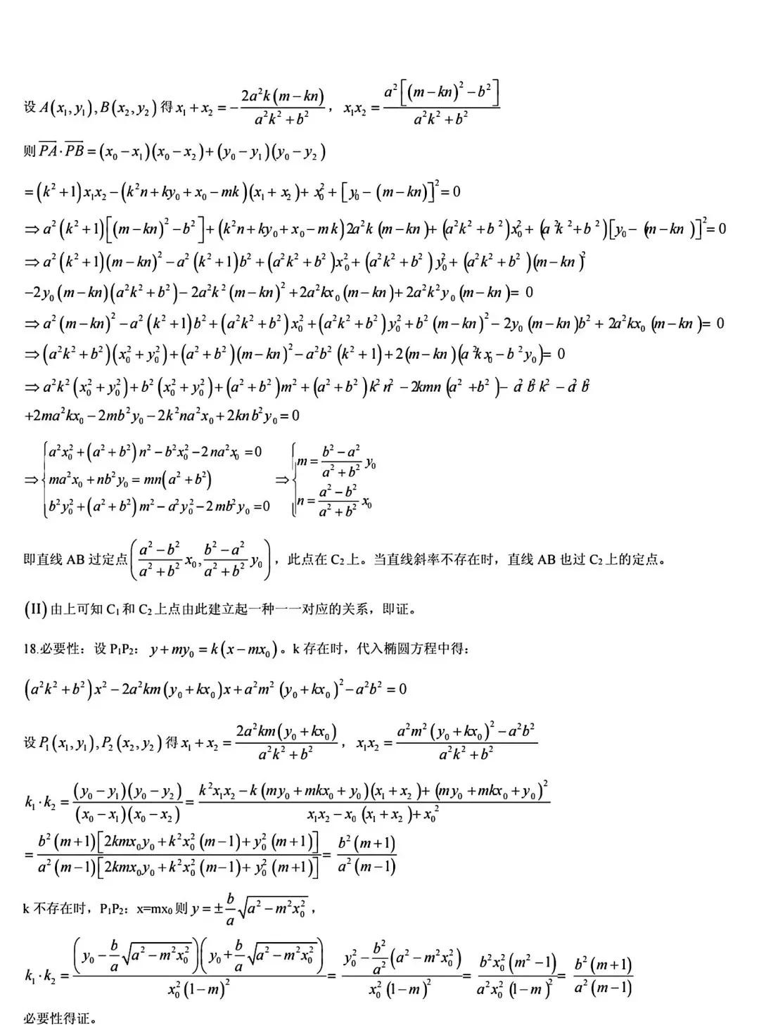
-
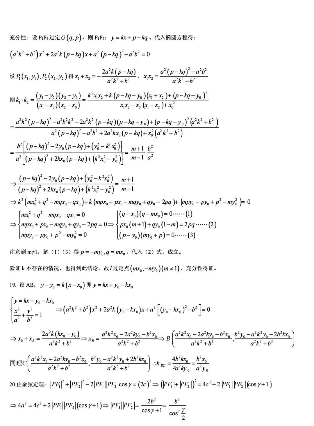
- 马齿笕能天天敷脸吗(马齿笕能直接敷脸吗)
-
2025-08-15 12:35:26
-
- 女生说你幼稚怎么高情商回复她呢
-
2025-08-15 12:33:10
-
- 天涯左央事件的真实性如何?
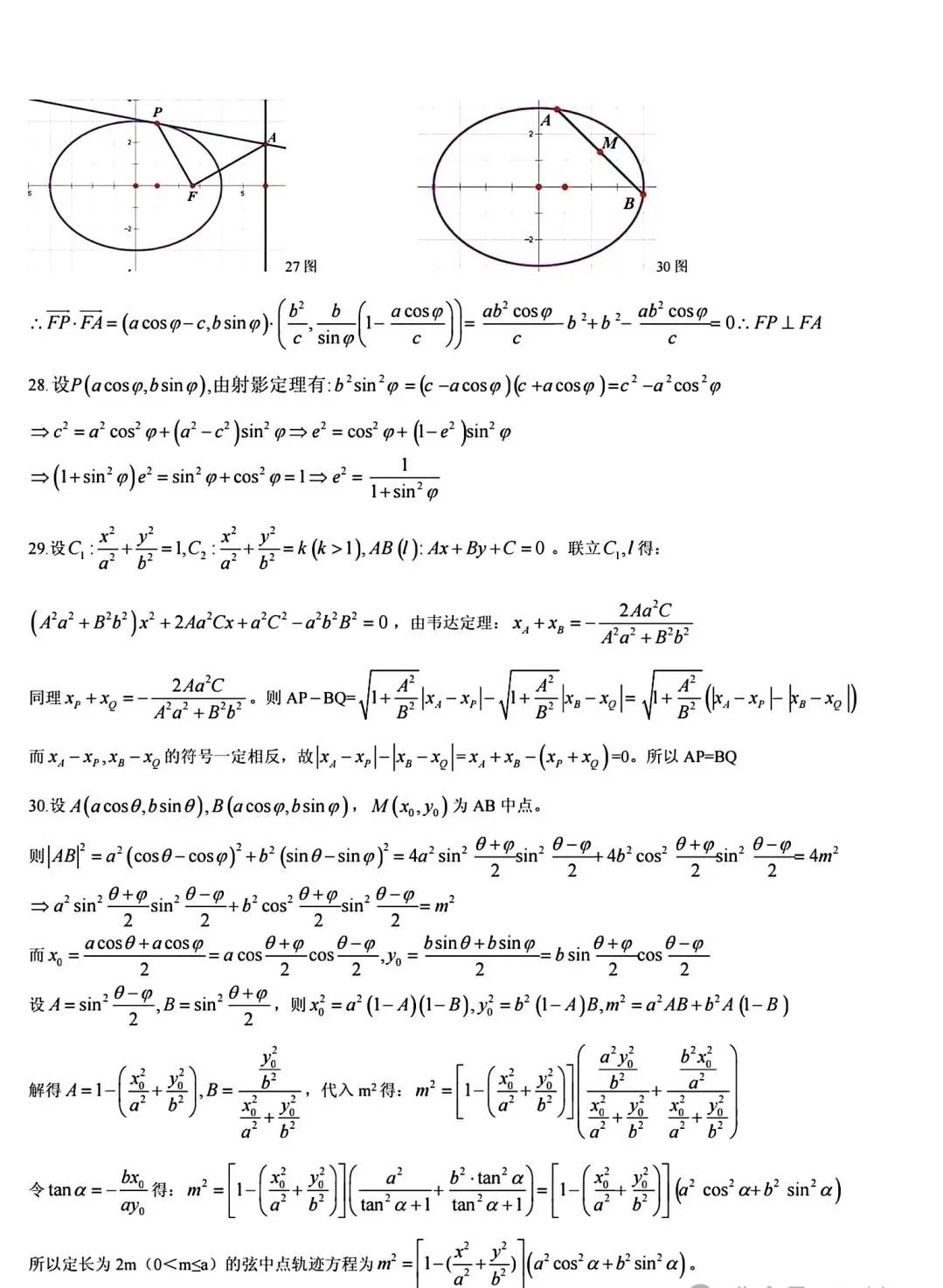
-
2025-08-13 04:38:37
-
- 他组词一年级简单的(三年级下册的词语)
-
2025-08-13 04:36:22
-
- 你知道吗?为什么中国人忌讳给500元的份子钱?
-
2025-08-13 04:34:07
-
- 解放军有哪些军种实行“基地制”?其级别、功能、构成有何不同?
-
2025-08-13 04:31:52
-
- 告诉你个冬天养“铜钱草”的小技巧,叶子不会黄,满满一盆绿!
-
2025-08-13 04:29:37
-
- 酸甜可口菠萝鸡块的家常做法,孩子老人都爱吃
-
2025-08-13 04:27:22
-
- 419是什么意思:女生给你说419你要懂(有点污)
-
2025-08-13 04:25:07
-
- 最奇葩的旅馆裸体旅馆,进去的人必须赤裸才能入住其中
-
2025-08-13 04:22:52
-
- 好事多磨走向成功
-
2025-08-13 04:20:38
-
- 二战美军华盛顿号战列舰:击沉日军“雾岛号”战列舰的二战功臣
-
2025-08-13 04:18:23
-
- 成都共享单车新规出台,闲置5天需按要求回收
-
2025-08-13 04:16:08
-
- 招摇:厉尘澜招摇首次初吻,女主好霸气直接吻,男主一脸娇羞
-
2025-08-13 04:13:53
-
- 店铺没转出就收钱,难道先收费都是骗子吗?(盐城火铺网)
-
2025-08-13 04:11:38
-
- 不满三年驾龄,如何成功注册成为滴滴打车司机?
-
2025-08-13 04:09:23
-
- 中国国际文化产权交易所有限公司
-
2025-08-13 04:07:08



一条烟不开封可以放多久?
彭冠英张含韵被曝结婚:低调的幸福爱情婚姻,或许与她的经历有关
王治郅的妻子周蕾,身材高挑 才貌双全 照片欣赏
范冰冰不雅图片 范爷大尺度裸身戏遭曝光
扎西顿珠视为信仰的宗庸卓玛与平凡丈夫的爱情,七年卧床不离不弃
中国著名相声演员姜昆简历