行列式的基本概念
行列式的基本概念
行列式的定义和计算
如果一组数用行和列形式列出来我们称之为矩阵。

上面就是两行三列的矩阵。矩阵有很多应用,在线性代数中有具体的描述。
代数方程可以用矩阵的形式表示。下列是三元一次方程组:

若把它写成矩阵的形式即把系数放在矩阵中:

为了确定与此类矩阵相关的解的唯一性,需要求出行列式的值。 它在工程、经济、科学等领域有着广泛的应用。 这里我们将学习3阶以下的行列式基本知识。

定义:每个n阶的方阵A,都可以关联一个叫做方阵A阶行列式的。
1阶行列式(1×1)
虑一个矩阵a = [a],那么这个矩阵的行列式等于a。
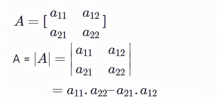
二阶行列式(2×2)
如果矩阵的阶是2,那么行列式定义为矩阵A,其中A是 如果矩阵的阶是2,那么行列式定义为矩阵A,其中A是

类似地,我们可以求出3×3阶的行列式 。
三阶行列式(3×3)
假设给定一个3阶矩阵A:

那么给出3×3矩阵的行列式的计算为:
|A| = a11 a22 a33 + a12 a23 a31 + a13 a21 a32– a11 a23 a32 – a12 a21 a33 – a13 a31 a22
其特点是主对角线的为正,副对角线的为负号。

行列式的特性
现在让我们看一下行列式的基本性质:
性质1-行列式的行和列互换时,行列式的值保持不变。
性质2-如果行列式的任意两行(或两列)互换,则行列式的符号改变。
性质3-如果行列式的任意两行或两列相等或相同,则行列式的值为0。
性质4-如果一行或一列的每个元素都乘以一个常数k,那么原来得到的行列式的值就乘以k。

利用行列式求三角形面积
我们已经知道,顶点为(x1, y1) (x2, y2)和(x3, y3)的三角形的面积是;
A = 1/2[x1(y2–y3) + x2(y3–y1) + x3(y1–y2)]
请参见如何利用顶点求三角形面积。
现在,我们可以把上面的表达式写成行列式的形式;


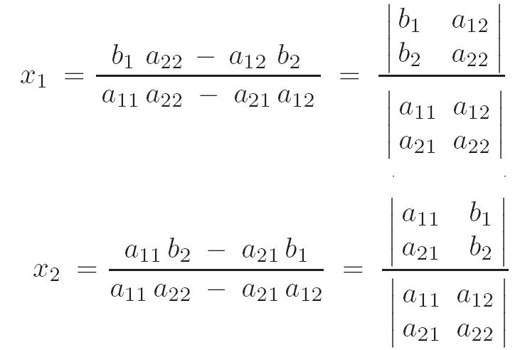
利用行列式解二元一次方程组
已知方程组:

它用矩阵表达为AX=B,其系数的行列式为A:

我们知道用消元法可得:

将上述的结果用行列式表达为:

-
- 孩子晚一年上学,会不会输在起跑线上?看完对比实验,答案很明显
-
2025-05-15 11:42:48
-
- 教育法规有哪些?六大教育法
-
2025-05-15 11:40:33
-
- 你知道化干戈为玉帛的典故是什么吗,居然是这么来的
-
2025-05-15 11:38:19
-
- 红薯叶的另类健康吃法
-
2025-05-15 11:36:05
-
- 河北衡水,除了衡水中学还有美丽的野生动物园
-
2025-05-15 11:33:51
-
- 小说:小伙吃鸡回收物品得神技,可入侵一切系统,再也不怕叮叮了
-
2025-05-15 11:31:37
-
- 万峰湖垂钓的一些技巧分享给大家,一年四季都受用
-
2025-05-15 11:29:22
-
- 神级爆笑韩综《新西游记》
-
2025-05-15 11:27:08
-
- 北京师范大学珠海分校是几本大学?
-
2025-05-15 11:24:54
-
- 大武汉前世今生之汉口
-
2025-05-14 03:47:17
-
- 成都青龙湖:三万亩的湿地风光迤逦,野生鸟类200多种
-
2025-05-14 03:45:03
-
- SHE再合体!三姐妹一同为田馥甄庆生,神仙姐妹情令人羡慕
-
2025-05-14 03:42:48
-
- 贵州中部将有16个高铁站,安顺地区不足贵阳的一半
-
2025-05-14 03:40:34
-
- 德阳旅游必去十大景点
-
2025-05-14 03:38:20
-
- “秦筝归秦——纪念秦筝陕西流派领军人周延甲先生音乐会”在京举行
-
2025-05-14 03:36:05
-
- 又一男神颜值崩塌?钢琴王子李云迪胖到认不出,圆脸越长越像郎朗
-
2025-05-14 03:33:51
-
- 谈谈书法专业的就业前景
-
2025-05-14 03:31:37
-
- 他只是短暂地爱了我一下,具惠善离婚,再次回到充满斗志的人生
-
2025-05-14 03:29:22
-
- 出轨,出柜?傻傻分不清楚!到底什么是出柜
-
2025-05-14 03:27:08
-
- 忘不了的童年,数不清的欢乐丨克朗棋、鸟市听书、打尜……
-
2025-05-14 03:24:54



一条烟不开封可以放多久?
彭冠英张含韵被曝结婚:低调的幸福爱情婚姻,或许与她的经历有关
王治郅的妻子周蕾,身材高挑 才貌双全 照片欣赏
范冰冰不雅图片 范爷大尺度裸身戏遭曝光
扎西顿珠视为信仰的宗庸卓玛与平凡丈夫的爱情,七年卧床不离不弃
中国著名相声演员姜昆简历